EchoLand-plus
計算式の記号が指定されていますから解答時に指定記述の必要が無いので、行数が少なくできて解答欄に納めやすいでしょう。(解答欄が以外に小さいと思います)
気筒数比aは、ピストン押しのけ量の比です。
VLとVHは、冷媒循環量、体積効率、比体積で表せます。

基本式(1)式より
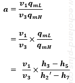
これを使って、
…(2) ηvは同じなので消えます。
さて、ここでqmL とqmHの関係を考えます。

ハイ、中間冷却器熱収支ですよ。
左辺に入るもの、右辺に出るものを書きます。
qmH・h5 + qmL・h2´= qmH・h3 + qmL・h7
まとめます
qmL(h2´- h7)= qmH(h3 - h5)
ここで、h2´を使っている事に注意してください。
…(3)
ここで、注意!h2´を求めますが、「圧縮機の機械的摩擦損失は吐出しガスに熱として加わらないものとする。」 と指定されていますから、分母に機械効率ηmLを含めません。(ここで、間違えると(2)のCOPも答えが違ってしまいます。)

平成19、20年度問1の問題文とh2´を、比べてみてください。(涙目になった方が多かったかもしれません。)
じゃ、(2)と(3)式を合体させます。

『上級 冷凍受験テキスト:日本冷凍空調学会』<9次:P49左(4.14)式><8次:P49左上(4.12)式>と同じです。
(ηvLとηvHは、同じ値なので消えています。)

答え 気筒数比3のコンパウンド圧縮機を選定する。(← これを書かないと減点でしょう…。)
基本式は、
…(4)
これも、
Φo = qmL(h1 - h8)
P = PL + PH
ここで、
ηc = ηcL = ηcH、 ηm = ηmL = ηmH

…(5)
ここで、この問題の嫌らしいのは、qmLとqmHを求めることができないのです。なので、比エンタルピーのみの式を導き出します。
何はともあれ、qmLとqmHの関係は、中間冷却器の熱収支ですね。(すでに、求めてありまする。)
qmL(h2´- h7)= qmH(h3 - h5)
なので、
…(6)
(5)式に、(6)式のqmHを代入します。
(COP)Rの基本式(4)式に組み込みます。
qmLが、消えます。(これで、qmLやqmHを使わなくても求めることができます。)
という、(7)式が出来上がりました。これは、解答集などにはいきなり出てきますのでわかりにくいのですが、ま、こんな感じです。 もちろん、本番ではこの(7)式をいきなり書いたほうが良いです。そうしないと、たぶん解答欄のスペースが無くなってしまいます。
答え (COP)R = 0.87 (余談:この冷凍装置は成績係数が良くないですね。)
:-D めでたしめでたし。
如何でしたかこの問題は、考え方がわからないと時間は瞬く間に過ぎていくでしょう…。
という感じです。
この手の問題は、難易度の高かった平成12年度で出題されています。健闘を祈る!
【2016/02/11 新設】
誤
正