EchoLand-plus
一度こなせば、難問ではありません。過去は、平成23年、平成17年、平成15年とホットガスは多いです。
問2 下図に示すR401A冷凍装置は、負荷減少時に圧縮機出口直後の吐出しガスの一部を蒸発器入口にバイパス弁を通して絞り膨張し容量制御を行っており、下記の条件で運転するものとする。
圧縮機の吐出しガス量の20%をバイパスをして容量制御を行っているとき、次の(1)~(3)の間に、解答用紙の所定欄に計算式を示して答えよ。
ただし、圧縮機の機械的摩擦損失仕事は吐出しガスに熱として加わるものとする。また、配管での熱の出入りおよび圧力損失はないものとする。 (20点)
(1)バイパスされる冷媒蒸気の比エンタルピーh5(kJ/kg)を求めよ。
(2)容量制御時の冷凍能力Φo(kW)を求めよ。
(3)容量制御時の成績係数は、全負荷時の何%になるかを求めよ。
何はともあれp-h線図を書くようにしましょう。テキストでは、『上級 冷凍受験テキスト:日本冷凍空調学会』<9次(8次):P22 (図2.12)>です。(理屈を把握して)覚えておくしかありません。
サクっと、線図を書けるようにしましょう。

サイクル図も、サクッと書きましょう。

<<ホットガスバイパス式容量制御サイクル>>(補足)
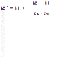
h5 = h2´ である。

h2´を求めましょう。

値を入れます。

よって、h5= h2´= 512
答え h5 = 512 (kJ/kg)
冷凍能力 Φo = qmr(h1-h6) ですが、h6が不明です。
h6を求めるには、下図のa点の熱収支の式を組み立てられれば楽勝、この手の問題のポイントです。

熱収支の式を組み立てます。
流出するものと流入するものを左辺右辺にまとめましょう。
qmr・h6 = 0.80・qmr・h4 + 0.20・qmr・h5
qmrが消えて
h6 = 0.80・h4 + 0.20・h5
ここに、h3 = h4、h5 = 512

よって、Φoは

答え Φo = 63(kW)
やっかいのように思えますが、さて。

容量制御時を(COP)Rp、Φopとし、全負荷時を(COP)R、Φorとする。

楽勝っスね!?
<<勝利のカツ丼>>
答え 容量制御時の成績係数は、全負荷時の、70%である。
ご健闘をお祈りします。
【2016/02/11 新設】