EchoLand-plus
中間冷却器の熱収支さえ組み立てることができれば、あとは2冷レベルです。
問1 R410Aを用いた二段圧縮一段膨張冷凍装置の理論例サイクルおよび圧縮機の仕様を下記に示す。この冷凍装置を運転したとき、次の(1)~(5)について、それぞれ解答用紙に計算式を示して答えよ。
ただし、圧縮機の機械的摩擦損失仕事は熱となって冷媒に加わるものとし、機器および配管と周囲の間で熱の出入りはないものとする。
(20点)

(1) 低段側冷媒循環量qmro(kg/s)を求めよ。
(2) 低段側圧縮機吐き出しガスの実際の比エンタルピーh2'(kJ/kg)を求めよ。
(3) 中間冷却器へのバイパス冷媒循環量q'mro(kg/s)を求めよ。
(4) 実際の凝縮負荷Φk(kW)を求めよ。
(5) 圧縮機の総駆動軸動力P(kW)を求めよ。
2冷レベルです。

ここに、h7 = h8
では、

答え 0.402 (kg/s)
2冷レベルです。

長々と書いていますが、本番では思いっきり短縮してください。どんなふうにするかは、過去問をこなせばわかってくるでしょう。
答え 465 (kJ/kg)
2つの方法を記しておきます。

基本式はこれ、
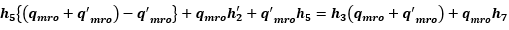
基本式からq'mroを含めた熱収支式を導き出します。図を見ながら、いつものように、左辺に入るもの、右辺に出るもので式を組み立てましょう。 ここで、注意) h2は、h2´とすること。

ここで、qmrk=qmro+q'mro なので、

整えます。

さらに、qmroを左辺に、q'mroを右辺に、整理整頓しましょう。

ここでまとめましょう。p-h線図を見ると「な~るほど」と式の意味がわかってくることでしょう。

この式が模範解答やテキストに、いきなり載っている熱収支の式です。本番では、導き出す部分を省いてこの式をサクッと記したほうが良いでしょう。(意外と解答欄は狭いです。)
よって、q'mroは、

では、数値代入しましょ。


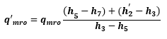
基本式はこれ、
式が簡略できます。点6(q'mro)を点5(qmrk)に含まれるものとしてみます。左辺に入るもの、右辺に出るもので式を組み立てます。
ここで、注意) h2は、h2´とすること。

qmroを左辺、qmrkを右辺にまとめます。

はい、これで熱収支の式が出来上がりです。
熱収支式からqmrkを求めます。

では、基本式からq'mroを求めましょう。

くどいですが、本番ではこんなに長々と式を書きません。大胆に短縮してください。
答え 0.149 (kg/s)
これは、2冷レベルですね。
基本式は、もちろんこれ。
Φk = qmrk(h'4 - h5)
ここで、前問でせっかくqmroとq'mroを求めたのですからこれを使うことがスマートでしょう。
はぃ、qmrk=qmro+q'mroですから、
Φk = (qmro + q'mro) × (h'4 - h5)
h'4を求めておきましょう。

では、数値代入しましょ。
Φk = (qmro + q'mro) × (h'4- h5)
= (0.402 + 0.149) × (469 - 257)
= 0.551 × 212 = 116.812
≒ 117
答え 117 (kW)
3冷レベル!?
P=Φk-Φo=117-80=37
答え 37 (kW)
中間冷却器の熱収支式が導きすことができれば楽勝でしょう。
【2020(R01)/03/23 新設】

