EchoLand-plus
平成26年度と同等です。
与えられた仕様と条件、勉強して覚えた公式で、上手に導き出しましょう。


必要厚さtaは、

ここで、銅板の厚さtは、t=(500-480)/2=10 mmである。
答え
設問の 胴板厚さt=10mm
は、 必要厚さta=9.69mm
より大きいので使用可能である。
必要な最小耐圧試験圧力Pは、許容圧力または設計圧力のいずれか低い方の1.5倍以上の圧力であるから、
よって、 P=2.48×1.5=3.72Mpa である。
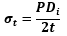
よってσtは、

円筒胴板に誘起される 最大引張応力σt
と、使用鋼板の 許容引張応力σa(100 N/mm^2)
の比は、

答え 89.3 %
過去問こなしていれば、どうってことないと思います。ぁ、講習検定ですから、よく講義を聞いていれば大丈夫かと…。
【2020(R02)/04/02 新設】