EchoLand-plus
令和2年度と同等です。混合点のヒートバランス(熱収支)の式を組み立てましょう。
2. 下図は、負荷減少時に圧縮機吐出しガスの一部を、膨張弁直後の低圧側にホットガスバイパス弁を通して膨張させ、容量制御する小形冷凍装置の略図である。装置は以下の理論冷凍サイクル条件で全負荷運転されている。(20 点)
(前負荷時の運転状態)
冷凍装置の理論冷凍能力 Φo = 80 kW
圧縮機吸込み蒸気の比エンタルピー h1 = 420 kJ/kg
理論断熱圧縮後の圧縮機吐出しガスの比エンタルピー h2 = 465 kJ/kg
膨張弁直前の冷媒液の比エンタルピー h3 = 220 kJ/kg
負荷が減少したため容量制御運転を行い、装置の理論冷凍能力を前負荷時の 80%にした。このとき、次の(1)~(5)について、それぞれ解答用紙に計算式を示して答えよ。
ただし、容量制御時の運転は、状態点 1、2、3 および 4 の冷媒の状態ならびに圧縮機吐出しガス量が全負荷時と変わることなくできるものとする。

(1) 全負荷時の冷媒循環量 qmr (kg/s)を求めよ。
(2) 容量制御時の蒸発器入口の冷媒の比エンタルピー h6 (kJ/kg)を求めよ。
(3) 容量制御時のホットガスバイパス量 qp (kg/s)を求めよ。
(4) 容量制御時の理論成績係数 (COP)th.Rpを求めよ。
全負荷時の冷凍能力Φoは、図のようにバイバス回路がない単純な冷凍装置になります。
全負荷時の説明図
よって、基本式は、
Φo = qmr(h1 - h4)
さっさと、qmrを計算しましょ。
qmr = Φo / h1-h4
= 80 / 420 - 220 = 0.4
答え 0.4 (kg/s)
今までの過去問では、バイパスの冷媒量を 20%にしたなど形式で問われましたが、この設問では全負荷時の冷凍能力(Φo)を 80%にして容量制御をしたと指定されてます。 単純に下図のa点の熱収支式を組み上げることではなく、少々頭の体操的な問題です。

ホットガスバイパス容量制御時の概略図

ホットガスバイパス容量制御 p-h線図
(1)で求めた全負荷時冷媒循環量qmrでの、冷凍能力Φoは、
Φo = qmr(h1 - h4) ですね。
ここで、設問では冷凍能力(Φo)を全負荷時の 80%ですので、次の式が成り立ちます。(点 6 が設問の容量制御時の蒸発器入口比エンタルピー h6となります。)
0.8 × Φo = qmr(h1 - h6)
つまり、
0.8 × qmr(h1 - h4) = qmr(h1 - h6)
qmrが消えて、
0.8 × (h1 - h4) = h1 - h6
よって、
h6 = h1 - 0.8 × (h1 - h4)
この赤字式が模範解答にはいきなり出現します。本番の解答でも「容量制御時は次の式が成り立つ」などと一言書いて、この式を記せば 💯❣
一気に行きましょ。ここに、h4 = h3 = 220
h6 = 420 - 0.8 × (420 - 257) = 260
答え 260 (kJ/kg)
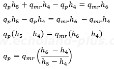
さて、ここで a点の熱収支式を組み立てましょう。

ホットガスバイパス容量制御時(qpを追加)の概略図

ホットガスバイパス容量制御p-h線図エンタルピー値h6を追加
左辺に入るもの、右辺に出るものをまとめます。
qph5 + h4(qmr - qp) = qmrh6
この式さえできれば、100点!
では、変形して

ここに、h4=h3、h5=h2

a点の熱収支からこの式を導く練習をしましょう。本番の解答では「容量制御時は次の式が成り立つ」などと一言書いて、この式を記せば 💯😍
数値代入しましょ。
qp = qmr × [(h6 - h3) / (h2 - h3)]
= 0.4 × [(260 - 220) / (465 - 220)]
= 0.4 × 40 / 245 = 0.0653061
≒ 0.0653
答え 0.0653 (kg/s)
2通りの解答を記しておきます。
Φop、Φo、(COP)th.R、(COP)th.Rp、h6 、h4の使い分けに注意してください。
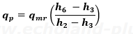
設問の容量制御時の冷凍能力をΦopとすると、
Φop=qmr(h1-h6) と、なります。
よって、このときの理論成績係数(COP)th.Rpは、

数値代入しましょ

設問より、容量制御時の(COP)th.Rpは、全負荷時の(COP)th.Rの80%であるから、次式が成り立つ。 参考:(『上級 冷凍受験テキスト:日本冷凍空調学会』<9次:P22(2.17)式><8次:P22(2.17)式>)
(COP)th.Rp=(COP)th.R×0.8
(COP)th.Rを、一応、記しておきましょう。(h6 が、h4 であることに注意。)

では、数値代入して一気に。

協会の模範解答は、方法 1が記述されています。方法 2は、令和2年度検定試験問2が同様の問題で、その模範解答で記述されています。簡単と思う方法で良いでしょう。(たぶん)
答え 3.56
容量制御時の「冷凍能力を80%」にする問題は、令和2年度検定試験問2を、ほとんどコピペで出題されました。もう大丈夫でしょう。
【2024(R06)/01/18 新設】