前年度の問2と同等です。
問2 アンモニア冷凍装置が、下記の条件で運転されている。このとき、圧縮機吸込み蒸気の密度ρ(kg/m3)、実際の成績係数(COP)Rについて、次の(1)から(5)の組合せのうち、正しい答に最も近いものはどれか。
ただし、圧縮機の機械的摩擦損失仕事は吐出しガスに熱として加わるものとする。また、配管での熱の出入りおよび圧力損失はないものとする。
(運転条件)
冷凍能力 Φo = 150 kW
圧縮機のピストン押しのけ量 V = 350 m3/h
圧縮機吸込み蒸気の比エンタルピー h1 = 1460 kJ/kg
断熱圧縮後の吐出しガスの比エンタルピー h2 = 1680 kJ/kg
蒸発器入口冷媒の比エンタルピー h4 = 340 kJ/kg
圧縮機の体積効率 ηv = 0.80
圧縮機の断熱効率 ηc = 0.85
圧縮機の機械効率 ηm = 0.90
(1)ρ = 0.67 kg/m3、(COP)R = 3.9
(2)ρ = 0.67 kg/m3、(COP)R = 5.1
(3)ρ = 1.34 kg/m3、(COP)R = 3.0
(4)ρ = 1.72 kg/m3、(COP)R = 3.9
(5)ρ = 1.72 kg/m3、(COP)R = 5.1
圧縮機吸込み蒸気の密度ρ(kg/m3)と、比体積vとの関係は、
ρ=1/v
ここで、比体積vといえば「これだけ公式」(1)式、
Vηv = qmrv ...(1)
(1)より、vは、
v = Vηv / qmr
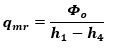
ここで、qmrがわかりませんので、求めるには「これだけ公式」(2)式。
Φo = qmr(h1 - h4) [kW] …(2)
(2)式のΦo、h1、h4は、分かっていますのでqmrが求められます。

これで、必要な公式が出揃いました。(本番で、速攻でここまで整理できれば合格!)
はぃ、(1)式を使い比体積vを求めるため、不明なqmrを求めましょ。
Vηv = qmrv ...(1)
qmrは(2)式より、

では、(1)式を変形し比体積vを、

※) V = 350 m3/h を、m3/s へ換算を忘れないように。
では、お待ちかね密度ρを。
ρ = 1 / v = 1 / 0.58 = 1.72413 ≒ 1.72
────────
ρ = 1.72 kg/m3 となりました。
実際の成績係数COPといえば、ハイ!

では、数値代入。

────────
(COP)R = 3.9 となりました。
正解は(4)ρ = 1.72 kg/m3、(COP)R = 3.9 です。
昨今、密度と額席の関係 ρ=1/v を把握しているか。が必須のポイントになっています。実際の成績係数は楽勝!ではない場合は勉強不足でしょう。ご健闘をお祈りします。
【2022(R04)/02/19 新設】(← 履歴をここに作った日)
PR