EchoLand-plus
冷蔵庫パネルは勉強しておかないと、撃沈かも。
問3 以下に示す設計条件で、冷蔵庫パネル外表面での結露を防ぐために、パネル外表面温度ta3が34.5℃以上となるように、冷蔵庫パネルの芯材厚さを決定したい。その場合の最も薄い芯材の厚さを計算式を示して求めよ。さらに、下記の選択肢の中から最も適切な芯材厚さを選択し、その理由を記せ。
(選択肢)
パネル芯材厚さ : 100mm、110mm、120mm、130mmm
(20点)
(設計条件)
外気温度 ta = 35 ℃
外気の露点温度 ta2 = 31 ℃
庫内温度 tr = -25 ℃
パネル外表面(外気側)の熱伝達率 αa = 30 W/(m2・K)
パネル内表面(庫内側)の熱伝達率 αr = 5.0 W/(m2・K)
パネル外皮材、内皮材の厚さ δ1 = δ3 = 0.5 mm(δ:デルタ)
パネル外皮材、内皮材の熱伝導率 λ1 = λ3 = 40 W/(m・K)
パネル芯材(硬質ポリウレタンフォーム)の熱伝導率 λ2 = 0.030 W/(m・K)
下図は、設問の冷蔵庫パネルを描いたものです。

『上級 冷凍受験テキスト:日本冷凍空調学会』<9次(8次):P77左 6.11式>を使います。
(式は理屈とともに覚えるしかないでしょう。)
上図を拡大して、設問条件の記号に数値も添えてをいろいろ書き込んでみました。

単位時間あたりの伝熱量Φ〔kW〕、外気温度ta、パネル外表面温度ta3、伝熱面積A、外気側熱伝達率αaの関係式はこれ。(テキスト(6.11)式より)

では、Φを求めます。(ここで、単位面積あたりとして、A=1とする。)

基本式はこれ、
Φ=KA(ta-tr)
数値代入、(A=1です。)

λとδとα関連で図を書いてみました。
基本式は、テキスト<9次(8次):P77右>を見て頂きたい。(6.16)式より、
…(3)
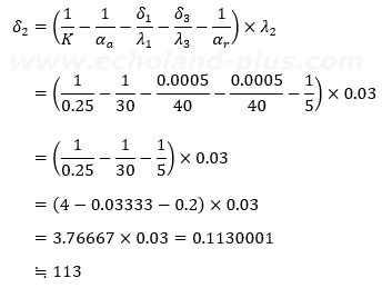
ここで、求めるδ2以外の全ての数値はわかっているので、ま、この式に数値代入すれば求められる。
(3)式を変形します。

数値代入して、

よって、選択肢の中から、厚さ「120 mm」の芯材を選択する。
答え 厚さ「120 mm」の芯材を選択する。理由は、設問の設計条件で、外気温度35℃のとき庫内温度-25℃になりえる芯材厚さのものは、計算結果により113mm未満は使用できない。
(参考:テキスト<9次(8次):P77 (6.14)式>) δ2が小さくなると(ta-tr)が小さくなる、taが一定であれば、tr(庫内温度)は小さくなる。)
【2020(R02)/12/11 新設】
← 誤
← 正 (2022(R04)/07/22)