EchoLand-plus
配管用断熱材計算は、初めての問題と思われ…。
問3 下図のように硬質ポリウレタンフォーム製断熱材を用いて、銅管を断熱し、ブライン搬送用の配管を制作した。以下の仕様および使用条件でこの配管を使用したとき、断熱材内表面の温度 t1(℃)を解答用紙の所定欄に計算式を示して答えよ。ただし、配管の半径方向にのみ、一様に熱が流れるものとする。
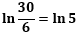
必要であれば、ln 2 = 0.69 、ln 3 = 1.10 、ln 5 = 1.61 を用いよ。
(20点)
(仕様および使用条件)
銅管の外径および断熱材の内径 D1 = 6 mm
断熱材の外径 D2 = 30 mm
外気温度 ta = 30.2 ℃
断熱材の外表面温度 t2 = 25.2 ℃
断熱材の外表面(外気側)の熱伝達率 αa = 10 W/(m2・K)
断熱材の熱伝導率 λp = 0.030 W/(m・K)
問3の熱問題で、「蒸発器」と「凝縮器」以外の問題といえば「冷蔵庫パネル」が定番でした。今回はじめて「円筒壁」が出題されました。
2冷の「学識」の問4では「円筒壁」が平成25年度に出題され、令和になって元年と3年度に出題されました。その流れで?1冷の学識にも登場したのでしょう。
せっかくなので、2冷問題(リンク部分)もココに貼り付けておきましょう。(問題の前の、図や式などはechoが作成したものです。)
テキスト<9次(8次):P74左 (6.1)式>

円筒壁の熱流束φ説明図
(kW/m2)・平板の厚さ方向(x方向)にのみ、一様に熱が流れる場合、位置xにおける温度をtとすると、熱流束は温度勾配(dt/dx)に比例する。また、円筒壁を半径方向(r方向)にのみ、一様に熱が流れる場合、位置rにおける温度をtとすると、熱流束は温度勾配(dt/dr)に比例する。 R03ga/04 
【◯】 この問題はココ。前半の「平板」は前述した「フーリエの法則」ですね、後半の「円筒壁」は上図を参照にしてちょうだい。(式の把握は必須になってます。)
・平板の熱流束φ(フーリエの法則)
φ = -λ(dt / dx) (kW/m2)
・円筒壁の熱流束φ
(kW/m2)
テキスト<9次(8次):P75左 (6.4)式>

円筒壁の伝熱量説明用の図
(kW)2冷では、このような問題が出題されています。さてと…。
参照 : テキスト<9次(8次):P75右 (6.5)式>

単位面積あたりに伝わる伝熱量 Φ は、伝熱面積 A と (tw - tr) に比例する。これを、ニュートンの冷却則という。
参照 : テキスト<9次(8次):P75左 (6.4)式>

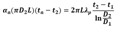
Φ = αaA(ta - t2)
ここで、A = πD2L (補足: π 👈️ 円周率)
Φ = αa (πD
これを、(1)式とします。

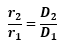
設問の配管断面の半径と直径の関係式は、
…(2)
テキストを参照して、円筒の伝熱量 Φ の計算式を設問に当てはめて組み立ててみましょう。
設問のブライン搬送用配管の温度分布イメージはこんな感じ。


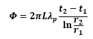
伝熱量 Φ は、(参照 : テキスト<9次(8次):P75左 (6.4)式>)

注)設問は t2>t1 であるから (t2 - t1) である。
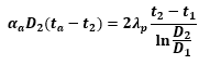
(2)式をあてはめると、

ここで、Φを(1)式を使って組み込みます。

π と Lを消します。
…(3)
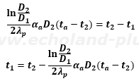
では、(3)式より t1 を求めましょう。
…(3)

この式の数値はすべて与えられていますので、これで t1 を求められます。
では、数値代入しましょ。

注)
設問の指定により、ln5 = 1.61 を用いる。
注)D2 = 30 (mm) は、0.03 (m) に換算して計算すること。

答え t1 = - 15.0(℃)
この問題の要点は、円筒の熱計算式を把握しているかです。円筒の熱計算は初めての問題でした。今後も出題されるでしょう。(2022年(R04)6月26日記ス)
いつもながらですが、計算はくどくどと記しています。本番では、思い切って削除しスマートな記述にしてください。
ご健闘をお祈りします。
【2022(R04)/06/19 新設】