EchoLand-plus
気筒数比を把握してないと撃沈。(><;)平成22年度が、参考になるかな。
問1 R410Aを冷媒とするコンパウンド圧縮機を使用した二段圧縮一段膨張の冷凍装置を、下記の冷凍サイクルの運転条件で運転するとき、次の(1)および(2)の問に、解答用紙の所定欄に計算式を示して答えよ。
ただし、圧縮機の機械的摩擦損失仕事は吐出しガスに熱として加わるものとする。また、配管での熱の出入りおよび圧力損失はないものとする。(20点)
(理論冷凍サイクルの運転条件)
低段圧縮機吸込み蒸気の比エンタルピー h1 = 348 kJ/kg
低段圧縮機吸込み蒸気の比体積 ν1 = 0.17 m3/kg
低段圧縮機の断熱圧縮後の吐出しガスの比エンタルピー h2 = 375 kJ/kg
高段圧縮機吸込み蒸気の比エンタルピー h3 = 366 kJ/kg
高段圧縮機吸込み蒸気の比体積 ν3 = 0.041 m3/kg
高段圧縮機の断熱圧縮後の吐出しガスの比エンタルピー h4 = 395 kJ/kg
中間冷却器用膨張弁直前の液の比エンタルピー h5 = 260 kJ/kg
蒸発器用膨張弁直前の液の比エンタルピー h7 = 242 kJ/kg
(圧縮機の仕様)
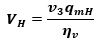
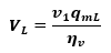
低段側ピストン押しのけ量 VL = 60 m3/h
体積効率(低段側、高段側とも) ηv = 0.80
断熱効率(低段側、高段側とも) ηc = 0.75
機械効率(低段側、高段側とも) ηm = 0.90
(1) コンパウンド圧縮機の低段側と高段側の最適な気筒数比(低段側 / 高段側)を示し、実際の圧縮機駆動の総軸動力 P (kW) を求めよ。
(2) 実際の冷凍装置の(COP)Rを求めよ。
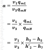
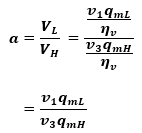
気筒数比 a は、「低段側ピストン押しのけ量 VL と高段側ピストン押しのけ量 VH の比です。

VL と VH は、冷媒循環量 qmr 、体積効率 ηv 、比体積 ν で表せます。((2)式)
ここで、次の基本式
...(1)
基本式(1)式より

よって、
...(2)
ここで、 qmL と qmH の関係を考えます。

中間冷却器概略図
中間冷却器熱収支をまとめます。
左辺に入るもの、右辺に出るものを記述ましょう。
qmH h5 + qmL h'2 = qmH h3 + qmL h7
qmL と qmH で、まとめます。
qmL(h'2 - h7)= qmH(h3 - h5)
ここで、h'2 を使っている事に注意してください。( ← 2冷レベル解説略)
熱収支から導いた qmL と qmH の比は、
...(3)
ここで、(2)式と(3)式を合体させます。

模範解答集などでは、この h を使った式がいきなり出現しますが、中間冷却器の熱収支からの導き出し方をマスターしてください。どんな応用にも対処できます。もちろん、本番では数式の記述は大胆にカットしてください。
h'2 を求めておきましょう。

数値を代入しましょう。

気筒数比は、3 になります。

P=PL+PH イメージ図

h2' h4' p-h線図
圧縮機駆動総軸動力 P は、低段側圧縮機軸動力を PL 、高段側圧縮記事駆動力を PH とすると、
P = PL + PH
= qmL(h'2 - h1) + qmH(h'4 - h3)
(h'2、h'4 であることに注意。)
h'4 を求めましょう。

では、(1)式より qmL qmH を求めましょう。
ここで、ピストン押しのけ量 VL = 60 m3/h と指定されています。
気筒数比 a = 3 = VL / VH と求めましたので、 VH = 20 m3/h と導き出せます。
よって、

注)h → s 単位換算をお忘れなく。

注)h → s 単位換算をお忘れなく。
では、数値代入して一気に。
P = qmL(h'2 - h1) + qmH(h'4 - h3)
= 0.0784 × (388 - 348) + 0.108 × (409 - 366) = 3.136 + 4.644 = 7.78
答え 気筒数比 3
圧縮機総軸動力 7.78 (kW)
せっかく (1) で P や qmL を求めたので使いましょう。
2冷レベルなので、一気に。

市販の問題集などでは、いきなり下記の式が登場します。1冷凍では暗記せず導き方を把握しましょう。(少しでもひねられた場合、暗記だけでは太刀打ちできません。)
...(1)
まず、P は、
...(2)
ここで、(1) で求めた中間冷却器熱収支式を用います。
qmL(h'2 - h7)= qmH(h3 - h5)
(2) 式を qmL のみにまとめるため、次式を作ります。
...(3)
(2) 式に (3) 式を代入します。
...(4)
(COP)R を求める基本式に、(4)式を代入しましょ。

ここで、qmL が消えます。

はい、これで (1) 式の出来上がりです。
...(1)
では、数値代入してみましょ。

答え (COP)R = 1.07
この問題の要点は、
いつもながらですが、計算はくどくどと記しています。本番では、思い切って削除しスマートな記述にしてください。それには、過去問をこなし これでどうだ!採点者殿!
と豪語するような自信を持てるぐらいになりましょう。
ご健闘をお祈りします。
【2022(R04)/04/26 新設】