EchoLand-plus
素直な問題。特に問題ない。平成25年度の問題と同等です。
問3 冷蔵庫用フィンコイル乾式蒸発器が、着霜のない状態で次の仕様および運転条件で運転されている。この蒸発器について、次の(1)から(3)の間に、解答用紙の所定欄に計算式を示して答えよ
ただし、蒸発器出口における冷媒の状態は乾き飽和蒸気とし、冷媒と空気との間の温度差は算術平均温度差Δtmを用い、フィンコイル材の熱伝導抵抗は無視できるものとする。
(20点)
(仕様および使用条件)
冷凍能力 Φo = 10 kW
空気側伝熱面積 A = 40 m2
冷媒蒸発温度 to = -14 ℃
空気側平均熱伝達率 αa = 0.04 kW/(m2・K)
冷媒側平均熱伝達率 αr = 3.8 kW/(m2・K)
入口空気温度 ta1 = -4 ℃
出口空気温度 ta2 = -9 ℃
(1) 着霜のない状態における蒸発器の外表面基準の平均熱通過率 K[kW/(m2・K)]を求めよ。
(2) 着霜のない状態における蒸発器の有効な以外伝熱面積比 m を求めよ。
(3) 着霜した場合の蒸発器の外表面積基準の平均熱通過率 k'[kW/(m2・K)]を求めよ。ただし、霜の熱伝導率λ は 0.14 W/(m・K)、霜の厚さ δ は 2.5 mm とし、これら以外は変わらないものとする。
Φo = KAΔtm
K = Φo / AΔtm

蒸発器温度分布
Δtm = Δt1 + Δt2
= [(Δta1 - Δt0) + (Δta2 - Δt0)] / 2
まず、Δtm を求めましょ。
Δtm = [(Δta1 - Δt0) + (Δta2 - Δt0)] / 2
= {[-4 - (-14)] + [-9 - (-14)]} / 2
= [(-4 + 14) + (-9 + 14)] / 2
= (10 + 5) / 2
= 7.5 K
では K を、
K = Φo / AΔtm
= 10 / 40 × 7.5 = 1 / 30
= 0.333333 ≒ 0.03 kW/(m2・K)
答え K = 0.03 kW/(m2・K)

ここで、m を求める式に変形。(変換部分だけ1行式にします。)
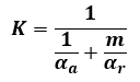
K = 1 / (1 / αa + m / αr)
K (1 / αa + m / αr) = 1
K / αa + mK / αr = 1
1 / αa + m / αr = 1 / K
m / αr = 1 / K - 1 / αa

では、数値代入。ですが、K の代入値で答えが違ってしまいます。
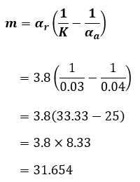
(1)で求めた K = 0.03 を代入すると、
…(1)

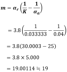
K = 0.033333 を代入してみると、
…(2)

(1)の計算途中での K = 1 / 30 を代入すると、
…(3)
KHK発表の模範解答では(3)式で記述されています。数学的には(3)式が正答なのでしょう。(1)式だと次の問(3)の答えがずれてしまいます。でも、得点はもらえる(少し減点?)と思います。
答え m = 19
着霜時蒸発器の外表面積基準の平均熱通過率 k' 、霜の熱伝導率 λ 、霜の厚さ δ とすると、

では、数値代入。

注)
でも、単位変換せずとも答えは同じになる。
が、
単位変換の記述がないと減点なのかな?(不明)
答え k' = 0.02 kW/(m2・K)
この問題の要点は、乾式蒸発器全般の計算(概念)を把握できているかでしょう。
いつもながらですが、計算はくどくどと記しています。本番では、思い切って削除しスマートな記述にしてください。
ご健闘をお祈りします。
【2023(R05)/01/28 新設】