EchoLand-plus
総冷却管長L
がポイントかな。(平成28年度と同等)
与えられた条件と勉強して覚えた公式で上手に導き出しましょう。






過去問をこなしていれば、与えられた条件で覚えた式が浮かんでくるでしょう。

答え 50.4 (kW)
特に説明はいらないでしょう。

答え 0.649 [kW/(m^2・K)]
次の基本式が浮かんで来ない方は勉強不足かな。

よって、(いっきに数値代入しましょ。)

答え 15.5 (m^2)

外側表面はギザギザとフィンがあるけれど、なんといっても作画が面倒なので、ま、こんな感じで…。
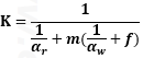
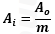
内側有効伝熱面積 Ai
は、冷媒側伝熱面積 Ao
と有効内外伝熱面積比 m
によって、次式で求められる。

内側表面積 Ai=π・di・L
より、

注)12ミリを、メートルに換算して計算すること。(12/1000)
答え 97.9(m)
(4)がポイントかな。ま、落ち着いて考えれば大丈夫かと。
【2020(R02)/03/30 新設】