EchoLand-plus
問3 ローフィンチューブを用いた水冷凝縮器の仕様と運転条件は次のとおりである。
(仕様および運転条件)
冷媒側有効伝熱面積 Ar = 5 m2
有効内外伝熱面積比 m = 4
冷媒側熱伝達率 αr = 3.2 kW/(m2・K)
冷却水側熱伝達率 αw = 7.5 kW/(m2・K)
冷却水側汚れ係数 f = 0.17 m2・K/kW
冷却水量 qmw = 1.3 kg/s
冷却水入口温度 tw1 = 24 ℃
冷却水出口温度 tw2 = 29 ℃
(画像)
次の(1)~(5)について、それぞれ解答用紙に計算式を示して答えよ。ただし、ローフィンチューブ材の熱伝導抵抗は無視し、冷媒と冷却水との間の平均温度差には算術平均温度差を用いるものとする。また、 冷却水の比熱cwは、4.2 kJ/(kg・K)で一定とする
(20点)
(1) 冷却水側伝熱面積Aw(m2)を求めよ。
(2) 凝縮負荷Φk(kW)を求めよ。
(3) 熱通過率K[kW/(m2・K)]を求めよ。
(4) 冷媒と冷却水との間の平均温度差Δtm(K)を求めよ。
(5) 凝縮温度tk(℃)を求めよ。
与えられた条件と勉強して覚えた公式で上手に導き出しましょう。





有効な意外伝熱面積は、フィンを付けて表面積を拡大した冷媒側の有効伝熱面積Arが基準(分子)になります。

では、変形して数値代入しましょ。

答え 1.25 (m2)
特に説明はいらないでしょう。
Φk=Cwqmw(tw2-tw1)
=4.2×1.3×(29-24)
=27.3
答え 27.3 (kW)
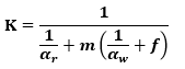
基本式はこれ、

数値代入しましょ。

答え 0.655 [kW/(m2・K)]
次の基本式が浮かんで来ないと勉強不足かな。
Φk=KArΔtm
よって、(いっきに数値代入しましょ。)

答え 8.34 (K)
この式を覚えているので余裕ですね。

では、変形、数値代入しましょ。

答え 34.8 (℃)
基本の公式を押さえてあれば楽勝の余裕でしょう。
【2020(R02)/11/06 新設】