EchoLand-plus
平成25年度 と同様(数値も答えも全て同じ)です。
3. ローフィンチューブを使用した水冷凝縮器の仕様および運転条件は以下のとおりである。(20点)
(仕様および運転条件)
冷媒側熱伝達率 αr = 3.5 kW/(m2・K)
冷却水側熱伝達率 αw = 8.0 kW/(m2・K)
冷却水側汚れ係数 f= 0.172 m2・K/kW
冷却水流量 qmw = 1.2 kg/s
有効内外伝熱面積比 m = 4.2
冷却水入口温度 tw1 = 32 ℃
冷却水出口温度 tw2 = 37 ℃
冷却水の比熱 cw = 4.2 kJ/(kg・K)
冷媒側有効伝熱面積 Ao = 7.0 m2
このとき、次の(1)~(3)について、それぞれ解答用紙に計算式を示して答えよ。ただし、冷媒と冷却水との間の温度差は算術平均温度差を用い、冷却管材の熱伝導抵抗は無視できるものとする。
(1) 凝縮負荷 Φk (kW)を求めよ。
(2) 冷却管の外表面積基準の熱通過率 K [kW/(m2・K)]を求めよ。
(3) 凝縮温度 tk(℃)を求めよ。
与えられた仕様や条件と使用できる公式を記してみましょう。

水冷凝縮器ローフィンチューブ

特に説明はいらないでしょう。
Φk = Cwqmw(tw2 - tw1)
= 4.2 × 1.2 × (37 - 32)
= 25.2
答え 25.2 (kW)
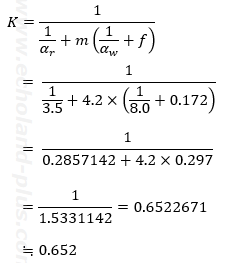
特に説明はいらないでしょう。

答え 0.652 [kW/(m^2・K)]
これも、特に説明はいらないでしょう。
基本式
Φk = KAoΔtm
Δtm = tk - (tw1 + tw2) / 2
よって、
tk = (Φk / KAo) + [(tw1 + tw2) / 2]
= (25.2 / 0.652 × 7.0) + [(32 + 37) / 2]
= 40.0
答え 40.0 (℃)
公式を一通り覚えてあれば楽勝の2冷レベルの問題でした。これを落とすようなら完全な勉強不足です。
【2024(R06)/01/19 新設】