EchoLand-plus
平成25年度 と同様です。違うのは汚れ係数が変化による平均熱通過率の計算があります。
問3 ローフィンチューブを使用したフルオロカーボン用の水冷シェルアンドチューブ凝縮器があり、その仕様および運転条件は下記のとおりである。このとき、次の(1)~(4)について、それぞれ解答用紙に計算式を示して答えよ。
ただし、冷却管材の熱伝導抵抗は無視できるものとし、冷媒と冷却との間の温度差は算術平均温度差を用いるものとする。(20点)
(仕様および運転条件)
冷媒側有効伝熱面積 Ar = 5.4 m2
リーフィンチューブの有効内外伝熱面積比 m = 4.2
冷媒側熱伝達率 αr = 3.5 kW/(m2・K)
冷却水側熱伝達率 αw = 8.5 kW/(m2・K)
冷却水側汚れ係数 f = 0.086 m2・K/kW
冷却水量 qmw = 1.5 kg/s
冷却水入口温度 tw1 = 30 ℃
冷却水出口温度 tw2 = 36 ℃
冷却水の比熱 cw = 4.2 kj/(kg・K)
(1) 凝縮負荷Φk(kW)を求めよ。
(2) 冷却管の外表面基準の平均熱通過率K[kW/(m2・K)]を求めよ。
(3) 凝縮温度tkを求めよ。
(4) 冷却水側伝熱面に水あかがさらに付着して汚れ係数が3倍に増大した。このとき、凝縮温度tkが何℃になるか。ただし、冷却水側汚れ係数および凝縮温度以外の凝縮器の仕様および運転条件は上記のとおりで、変わらないものとする。
与えられた仕様や条件と使用できる公式を記してみましょう。

水冷凝縮器ローフィンチューブ


基本式はこれ、
Φk = cwqmw(tw2 - tw1)
では、数値代入。
Φk = cwqmw(tw2 - tw1)
= 4.2 × 1.5 × (36 - 30)
= 4.2 × 1.5 × (36 - 30)
= 37.8
答え 37.8 kW

特に説明はいらないでしょう。
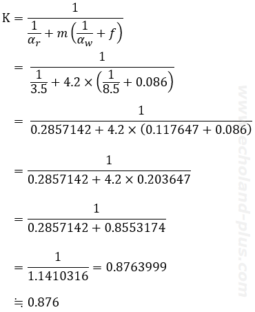
基本式

では、数値代入。

答え 0.876 kW/(m2・K)
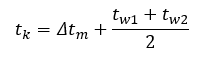
まず、Δtmの基本式はこれ、

ここで Φkは、

よって Δtmは、

ゆえに、

tkは、

では、数値代入して tkを、

答え 41.0 ℃
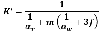
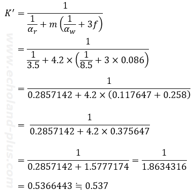
汚れ係数 fが3倍になったときの熱通過率を k'とすると、

では、数値代入して、

設問条件による Φkは、

Δtm' は、

ゆえに、


よって、 tk' は、

では、数値代入して tk'を、

答え 46.0 ℃
公式を一通り覚えてあれば楽勝の2冷レベルの問題でした。これを落とすようなら完全な勉強不足努力不足です。
ここでの解答は淡々と長々と数式を記述して計算していますが、本番ではこんなに書けれませんし、時間もありません、大胆に短縮し要点をつかんだ計算式にできる練習をしてください。どうすればいいかって?それは過去問をこなすしかないでしょう。ご健闘をお祈りします。
【2022(R04)/09/08 新設】