「学識」問5で出題される、「ローフィンチューブ」「パス数と水速」「ブレーシングプレート凝縮器」について集めてあります。
「ローフィンチューブ」の問題文はテキストの文章をひねっているので、よく読んで、勘違いして涙目にならないように注意。「保安」でも「学識」でも出題されます。
『上級 受検テキスト:日本冷凍空調学会』9次改訂版(令和4年11月8日改訂)に対応しています。適当に、8次改訂版のページを( )内に残してあります。
テキスト学識編の<9次:P88右 7.3.2 シェルアンドチューブ凝縮器の伝熱作用>(<P87右 (3)伝熱作用)を一読スべし。 また、保安編の<9次:P213、P235~>(P203、P224~)あたりを一読しておけば、なお良いですね。

ローフィンチューブの水垢概略図

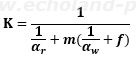
ローフィンチューブの平均熱通過率Kの計算式
水冷凝縮器の熱通過率 K を求める場合、ローフィンチューブのフィンを付けて面積を拡大した外表面面積( Ar )を基準とする
ローフィンチューブは、学識の構造のほかに保守管理でも出題されます。
『上級 冷凍受験テキスト:日本冷凍空調学会』学識編<9次:P89左 (1)ローフィンチューブの利用>(P88左)を熟読しておきましょう。
保安編では<9次:P213右~>(P203右)です。
テキスト<9次:P89>の図7.18(P89 図7.15)を参考にして、イメージを組み立てましょう。
・水冷凝縮器では、一般に管内冷却水側の熱伝達率と冷媒側のそれは同程度である。 H18学/05 
【×】 これはサービス問題!
これを落とすようなら勉強不足。冷却水側のそれは冷媒側の2倍以上大きい、なので、冷媒側の面積を・・・<略>テキスト<9次:P89左 (1)ローフィンチューブの利用>を読むべし。
・水冷凝縮器では、冷媒側の熱伝達率が冷却水側のそれの2倍以上と大きいので、冷却水側にフィン加工して伝熱面積を大きくしている。 H16学/05 
【×】 典型的な引っ掛け問題!問題をよく読もう。正しい文章にしておきましょう。
水冷凝縮器では、冷却水側の熱伝達率が冷媒側のそれの2倍以上と大きいので、冷却水側にフィン加工して伝熱面積を大きくしている。
・フルオロカーボン用水冷凝縮器では、冷却水側の熱伝達率が冷媒側のそれの2倍以上と大きいので、冷媒側にフィン加工して伝熱面積を拡大している。 H21学/05 
【◯】 今度は◯ですよ。 問題をよく読んで、もて遊ばれないようにしよう。
・水冷凝縮器は、冷却管内を冷却水が流れ、管外面で冷媒蒸気が凝縮するのが普通であり、冷媒側の熱伝達率が冷却水側のそれの2倍以上大きい。 H22学/05 
【×】 これは、構造と伝達率の関係を把握してないと駄目だね。
水冷凝縮器は、冷却管内を冷却水が流れ、管外面で冷媒蒸気が凝縮するのが普通であり、冷却水側の熱伝達率が冷媒側のそれの2倍以上大きい。
・水冷横形シェルアンドチューブ凝縮器では、冷却水側の熱伝達率が冷媒側より大きいので、管外面の冷媒側にフィン加工して伝熱面積を拡大する工夫をしてある。その代表的な冷却管がローフィンチューブである。 H27学/05 
【◯】 その通りとしか言いようが無い。テキスト<9次:P89左 (1)ローフィンチューブの利用>
・水冷横形シェルアンドチューブ凝縮器では、一般に、冷却水側の熱伝達率が冷媒側の熱伝達率より大きいので、管外面の冷媒蒸気側にフィン加工して伝熱面積を拡大する工夫をしている。その代表的な冷却管がローフィンチューブである。 R02学/05 
【◯】 H27年と違う部分に下線を引いてあります。
・水冷横形シェルアンドチュープ凝縮器では、一般に管内冷却水側の熱伝達率は冷媒側のそれより小さい。 H30学/05 
【×】 バツです。正しい文章にしておきましょう。
水冷横形シェルアンドチュープ凝縮器では、一般に管内冷却水側の熱伝達率は冷媒側のそれより大きい。
・水冷横形シェルアンドチューブ凝縮器では、冷却水側の熱伝達率が冷媒側より小さく、冷却水側の伝熱面積を拡大するような工夫がなされている。 R03学/05 
【×】 正しい文章にしてみましょう。テキストは<9次:P89左 (1)ローフィンチューブの利用>
水冷横形シェルアンドチューブ凝縮器では、冷媒側の熱伝達率が冷却水側より小さく、冷媒側の伝熱面積を拡大するような工夫がなされている。
・水冷横形シェルアンドチューブ凝縮器において、冷却水側の熱伝達率は冷媒側の熱伝達率よりも小さい。したがって、冷却管として冷却水側に高さの低いフィンを付けたローフィンチューブを用いて、冷却水側の伝熱面積を冷媒側よりも大きくしている。 R04保/02 
【×】 令和4年度は、テキスト<9次:P89左 (1)ローフィンチューブの利用>(保安編)と<9次:P213右 7行目~>が、上手に組み合わされた問題文です。正しい文章は、
水冷横形シェルアンドチューブ凝縮器において、冷却水側の熱伝達率は冷媒側の熱伝達率よりも大きい。したがって、冷却管として冷媒側に高さの低いフィンを付けたローフィンチューブを用いて、冷媒側の伝熱面積を冷却側よりも大きくしている。
・水質管理を行っている冷却塔を用いた水冷凝縮器では、凝縮器の冷却管の水側に汚れが付着しないので、水あかの除去作業は不要である。 H19学/05 
【×】 水質管理、腐食防止、水垢除去は必須のお仕事です。常識的に?分かる、サービス問題!? テキスト<9次:P90 (2)水あかの影響>
・水冷横形シェルアンドチューブ凝縮器において、冷却管に水あかが付着する、あるいは、アンモニアの装置で冷却管の冷媒側に油が付着すると、いずれの場合も伝熱作用を阻害して熱通過率が小さくなる。このため、凝縮温度が低下する。 R04保/02 
【×】 ぅむ。テキスト<9次:P90左>
水冷横形シェルアンドチューブ凝縮器において、冷却管に水あかが付着する、あるいは、アンモニアの装置で冷却管の冷媒側に油が付着すると、いずれの場合も伝熱作用を阻害して熱通過率が小さくなる。このため、凝縮温度が上昇する。
テキストは<9次:P90右 (3) パス数と適切な管内水速>
ポツリポツリと雨だれのように出題されています。年代順に並べます。
・水冷凝縮器における冷却管内の水速は、冷却水側の熱伝達率を大きくし、熱通過率を向上させるために5m/s以上とするのがよい。 H19学/05 
【×】 「学識」では、数字も覚えなくちゃいけない。(頑張れ~)1~3m/sである。
テキスト<9次:P90右下から8行目>。
・水冷横形シェルアンドチューブ凝縮器は、冷却管内の冷却水の流速を適切な範囲に保ち、水側の熱伝達を計画どおりに確保するために、管板の外側に取り付けた水室に、冷却水通路の仕切りを設けることが多い。これは、多通路式と呼ばれ、冷却水が二往復する場合は4パスと呼ぶ。 H23学/05 
【◯】 パスしないように。(笑…
パスはボイラー試験でも出題されるよね。テキスト<9次:P90右>
・横形シェルアンドチューブ凝縮器では、管板の外側に取り付けた水室に冷却水通路の仕切りを設け、冷却水が冷却管内を数回往復するものが多く、冷却水が一往復する場合を2パスと呼ぶ。 H25学/05 
【◯】 H23年度の改良形。楽勝ですね。 テキスト<9次:P90右>
・水冷横形シェルアンドチューブ凝縮器は、冷却管内の冷却水の流速を適切な範囲に保ち、水側の熱伝達率を計画どおりに確保するために、管板の外側に取り付けた水室に、冷却水通路の仕切りを設けることが多い。これは、多通路式と呼ばれ、冷却水が冷却管内を二往復する場合を2パスと呼ぶ。 H29学/05 
【×】 2往復は4パス。2パスは1往復です。
・水冷横形シェルアンドチューブ凝縮器は、冷却管内の冷却水の流速を適切な範囲に保ち、水側の熱伝達率を計画どおりに確保するために、管板の外側に取り付けた水室に、冷却水通路の仕切りを設けることが多い。これは、多通路式と呼ばれ、冷却管内を冷却水が数回往復する。二往復する場合を2パスと呼ぶ。 R01学/05 
【×】 H29の問題文を少し改良したもの。無勉だと思わず【◯】にするかもしれない。正しい文章にしてみますかね。
水冷横形シェルアンドチューブ凝縮器は、冷却管内の冷却水の流速を適切な範囲に保ち、水側の熱伝達率を計画どおりに確保するために、管板の外側に取り付けた水室に、冷却水通路の仕切りを設けることが多い。これは、多通路式と呼ばれ、冷却管内を冷却水が数回往復する。二往復する場合を4パスと呼ぶ。
・水冷横形シェルアンドチューブ凝縮器は、管板の外側に取り付けた水室に、冷却水通路の仕切りを設けることが多い。これは、多通路式と呼ばれ、冷却水が二往復する場合を4パスと呼ぶ。 R04学/05 
【◯】 今度は【◯】です。
・シェルアンドチューブ凝縮器では、管板の外側に取り付けた水室に冷却水通路の仕切りを設け、冷却水が冷却管内を数回往復するものが多い。冷却水が一往復する場合を 2 パス、二往復する場合を 4 パスとそれぞれ呼ぶ。 R05学/05 
【◯】 ぅむ。
05/10/01 07/12/12 08/02/03 09/03/20 10/09/28 11/08/01 12/04/16 13/10/09 14/09/13 15/06/29 16/12/03 17/03/01 19/09/14 20/11/26 22/04/05 23/12/09 25/12/12
【2016/06/29 新設】(← 履歴をここに作った日)