乾式蒸発器において、「熱通過率」「熱伝達率(フィンコイル冷却器、乾式シェルアンドチューブ蒸発器)」「伝熱促進管」の順番でテキストに沿ってまとめてあります。テキスト<9次:P100~P103>(<8次:P96~P99>)
「均等分配」、「蒸気過熱管長」は、次ページです。
『上級 受検テキスト:日本冷凍空調学会』9次改訂版(令和4年11月8日改訂)に対応しています。適当に、8次改訂版のページを( )内に残してあります。
テキスト<9次:P100~P101左上>です。過去問はあまり見当たらない。(2023(R05)/08/30記ス)
・乾式蒸発器は、冷媒が冷却管内を流れるので、熱通過率 K は、構造、被冷却流体、使用条件による値の変化は小さい。 by echo 
【×】 この先、構造、被冷却物、使用条件の把握が必須となります。テキスト<9次:p100左 下3行>
乾式蒸発器は、冷媒が冷却管内を流れる。熱通過率 K は、構造、被冷却流体、使用条件によって大きく異なる。
下記は、テキスト<9次:P100右~P101左上>に記されている熱通過率の値をまとめたもの。参考程度にしかならないかも。(8次改訂版よりも3項目ほど削除された)
・乾式蒸発器は、冷媒が冷却管内を流れるが、熱通過率Kの基準伝熱面積は一般に被冷却物(外表面)側の面積とする。 H16学/06 
【◯】 ココの唯一の過去問。
熱通過率は熱伝導抵抗と伝熱面積に関係し、有効内外伝熱面積比をフィンの付いている側の伝熱面積とフィンの付いていない側の伝熱面積のどちらを基準とするかで決まる。乾式蒸発器は、一般に管外表面積を基準とする。
テキスト<9次:P100右 1行目~>を読んで。
テキスト<9次:P101~P103>に沿って、乾式蒸発器の熱伝達率と伝熱促進管「(a)空気用フィンコイル蒸発器」「(b)乾式シェルアンドチューブ蒸発器」「(c)伝熱促進管の利用」に分類してあります。
9次改訂版は、8次改訂版を全面的に書き換えられています。
テキスト<9次:P101>

フィンコイル蒸発器の有効内外伝熱面積比 m
・フィンコイル乾式蒸発器では、熱通過率の基準伝熱面を外表面側にとり、内外表面積の違いによる熱通過率への影響を考慮して、有効内表面積を有効外表面積で除した有効内外伝熱面積比を熱通過率の計算に使用する。 R01学/06 
【×】 ぅーん、有効内外伝熱面積比を意識して学んでないとムズいかも。テキストは<9次:P101左> m:有効内外伝熱面積比=有効外表面積/有効内表面積
です。正しい文章にしてみますかね。
フィンコイル乾式蒸発器では、熱通過率の基準伝熱面を外表面側にとり、内外表面積の違いによる熱通過率への影響を考慮して、有効外表面積を有効内表面積で除した有効内外伝熱面積比を熱通過率の計算に使用する。 R01学/06
・フィンコイル乾式蒸発器の熱通過率は、冷却管外表面(フィンを含む)の空気側を基準伝熱面とし、内外表面積の違いによる熱通過率への影響を考慮して、有効外表面積を有効内表面積で除した有効内外伝熱面積比を熱通過率の計算に使用する。 R02学/06 
【◯】 今度は正解です。
面積を広げたほうが分子なので、mは1より大きいです。テキスト<9次:P102左>のインナーフィンチューブの場合は逆になる(内側にフィンが付いて面積が広い)ので注意ですよ。
テキスト<9次:P101左 下から6行目~>

フィンコイル蒸発器熱通過率・霜付きの場合

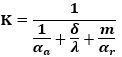
フィンコイル冷却器の熱通過率 K 計算式
・フィンコイル乾式蒸発器では、霜が伝熱面に厚く付着すると、その熱伝導抵抗のため熱通過率が著しく低下する。 H18学/06 
【◯】 このように学識の問題は、(テキストの計算式をもとに)なぜ低下するのかを問われる。テキスト<9次:P101左 下から6行目~>

フィンコイル冷却器の熱通過率 K 計算式
フィンコイル乾式蒸発器では、霜が伝熱面に厚く付着すると、計算式の霜の厚さ(δ)が大きくなるため、その熱伝導抵抗(δ/λ)が大きくなり、熱通過率(K)が著しく低下する。
・フィンコイル乾式蒸発器の熱通過率は、冷却管材の熱伝導抵抗が無視できる場合、被冷却物側熱伝達率、冷媒側熱伝達率、有効内外伝熱面積比が支配的であるが、霜や氷が付着した場合は霜や氷の厚さと熱伝導率を考慮する必要がある。 H27学/06 
【◯】 その通りとしか言いようが無い。テキスト<9次:P101>を読み、計算式を見つめるしかないだろう。

フィンコイル冷却器の熱通過率 K 計算式
フィンコイル乾式蒸発器の熱通過率(K)は、冷却管材の熱伝導抵抗が無視できる場合、被冷却物側(空気側)熱伝達率(αa)、冷媒側熱伝達率(αr)、有効内外伝熱面積比(m)が支配的であるが、霜や氷が付着した場合は霜や氷の厚さ(δ)と熱伝導率(λ)を考慮する必要がある。
テキスト<9次:P102>

インナーフィンチューブ断面概略図(水垢付き)

インナーフィンチューブの熱通過率 K の計算式(水垢付きの場合)
・インナーフィンチューブは、熱通過率の基準伝熱面を外表面(冷却水)側にとり、有効内表面積を有効外表面積で除した有効内外伝熱面積比を熱通過率の計算に使用する。 by echo 
【◯】 テキスト<9次:P102左 冒頭~(8.6)式>
有効内外伝熱面積比(m)は、管の外側(冷却水側)が基準で、「比 = 内 / 外」です。(内側にフィンが付くので計算は空気用フィンコイル蒸発器と逆です)

インナーフィンチューブの熱通過率 K の計算式(水垢付きの場合)
・インナーフィンチューブの有効内外伝熱面積比は、有効内表面積を有効外表面積で除したものであり、一般に2.2~3.4である。 by echo 
【◯】 内側にフィンを付けて、外側より2.2~3.4大きい表面積を確保しているということです。テキスト<9次:P102左 下から11行目(8.6式の説明部分)>
・乾式のシェルアンドチューブ蒸発器では、熱通過率の基準伝熱面を被冷却流体側(管外表面側)にとり、内外表面積の違いによる熱通過率への影響を考慮して、有効内表面積を有効外表面積で除した有効内外伝熱面積比を熱通過率の計算に使用する。 R07学/06 
【◯】 ぅむ。テキスト<9次:P102左 下から11行目(8.6式の説明部分)>
テキスト<9次:P102~P103> テキストでは半ページにも満たない箇所であるが、多くの問題が出題されている。
・乾式シェルアンドチューブ蒸発器では、冷媒側熱伝達率は水などの被冷却物側に比べて小さいので、いろいろな伝熱促進方法が使われている。インナーフィンチューブも内面積の拡大とともに、フィン表面の細かい溝やフィンで冷媒通路を細かく仕切ることによって、伝熱促進処置がなされている。 H21学/06 
【◯】 ぅむ。21年度は長い文章の問題が多い。
・インナフィンチューブを用いた乾式シェルアンドチューブ蒸発器の水冷却器では、フィンの付いている管内に冷水を流している。 H19学/06 
【×】 大丈夫でしたか?管内には冷媒です。
テキストは<9次:P102(8.6)式の説明> 「αr:冷媒(内面)」と記されている。イメージ的に理解できれば良いんだけど。管の外側に冷却水、内側に冷媒。
・乾式シェルアンドチューブ蒸発器では、冷媒側の伝熱促進のため、冷却管外表面にフイン加工をして伝熱面積を拡大したローフインチューブを使用することが多い。 H26学/06 
【×】 上から問題をしてくれば迷わず×とわかるだろう。
テキスト<9次:P102一番右下~P103左 ((c)伝熱促進管の利用)>
後半は満液式蒸発器(テキスト<9次:P107右 図8.27等)>)のローフィンチューブの説明だー。乾式シェルアンドチューブ蒸発器はインナーフィンチューブを使用する。
・乾式シェルアンドチューブ蒸発器には裸管のほかに各種の伝熱促進管が使用され、管内の伝熱性能向上のため、一般的にインナフインチューブ、らせん形の溝を付けたコルゲートチューブ、ローフインチューブなどが使用される。 H28学/06 R05学/06 
【×】 ぉっと~、勉強してないと思わず◯にしてしまうかも。 テキスト<9次:P102一番右下~P103左 ((c)伝熱促進管の利用)(←螺旋形(らせんがた))>正しい文章は、
乾式シェルアンドチューブ蒸発器には裸管のほかに各種の伝熱促進管が使用され、管内の伝熱性能向上のため、一般的にインナフインチューブ、らせん形の溝を付けたコルゲートチューブが使用される。
【参考】ローフィンチューブは「満液式蒸発器」に使用される。テキスト<9次:P107右 図8.27等)>
・乾式シェルアンドチューブ蒸発器には、裸管のほかに、管内の伝熱性能向上のため、インナフィンチューブ、コルゲートチューブ、内面溝付き管、らせん形の溝を付けたコルゲートチューブなどが一般に使用される。 R02学/06 
【◯】 年度毎にどんどん増えていく。(><;)
今回は 内面溝付き管
が追加された。テキスト<9次:P103左 3行目~>(<8次:P99左下>)に、ちゃんと記されているからしょうがないけども…。
・乾式シェルアンドチューブ蒸発器の場合、冷媒側の熱伝達率は水などの被冷却流体側の熱伝達率に比べて小さいので、インナフィンチューブ、コルゲートチューブなどを用いて伝熱促進がなされている。 R06学/06 
【◯】 ぅむ ❢ 熱伝達率云々も把握しておこう。テキスト<9次:P103左上>
05/09/16 07/12/13 08/06/29 09/03/14 10/10/13 11/08/02 12/04/25 13/10/10 14/08/26 16/12/14 18/04/10 19/12/28 20/11/27 22/04/08 23/12/09 24/11/28 5/12/15
【2016/07/09 新設】(← 履歴をここに作った日)
有効外表面程を→
有効外表面積を(2018(H30)/04/10)