H29年度問1と同等です。
問1 下図の理論冷凍サイクルのp-h線図において、次のイ、ロ、ハ、ニの記述のうち、正しいものはどれか。ただし、装置の冷媒循環量は2700 kg/hである。

(補足:実際の試験問題は、各点の数値1~4が記されていない(はてな?))
イ.冷凍能力は、25 Rt(日本冷凍トン)である。
ロ.凝縮器放熱量は、180 kWである。
ハ.冷凍装置の成績係数は、2.6である。
ニ.蒸発器入口の冷媒乾き度は、0.39である。
(1)イ、ハ (2)ロ、ニ (3)ロ、ハ (4)イ、ハ、ニ (5)ロ、ハ、ニ
冷凍能力といえば、この式。(実際の試験問題の図では、各点の数値1~4が記されていない。(はてな?)echoが記したのでh1~h4とします。以下同じ。)
Φo = qmr(h1 - h4)
ここで、qmrは単位換算をわすれないように!
qmr=2700(kg/h)/3600(s) = 0.75 (kg/s)
数値代入
Φo = qmr(h1 - h4)
= 0.75 ×(375 - 245)
= 97.5(kW)
ここで、安心してはいけません!
問では、25「冷凍トン」(Rt)とあります。
ここで、復習。
1(Rt) = 3.86 (kW) ≒ 13900 (kJ/h) ≒ 3.86 (kJ/s)
1(kW) = 1 (kJ/s) = 3600 (kJ/h)
というわけで、
97.5/3.86 = 25.259067 ≒ 25 (Rt)
よって、イ.25 Rtは、◯です。
凝縮器の放熱量Φkといえば、この式。(上級テキストP1)
Φk = Φo + P
さらに、Φkといえば、
Φk = qmr(h2 - h3)
ちなみに、Pは
P = qmr(h2 - h1)
イ.の問題で、Φoは求めてありますし、qmrとh1~h4までの値も分かっていますので、Φkをいきなり求めても良いですし、Pを求めて足し算しても良いです。
そうですねぇ、次の問題で成績係数を求めますからPを求めておいたほうが良いでしょう。
じゃ、圧縮動力は
P = qmr(h2 - h1)
= 0.75 ×(425 - 375)
= 0.57 × 50
= 37.5 kw
足し算して、
Φk = Φo + P
= 97.5 + 37.5
= 135 kW
【おまけ】
Φkを冷媒循環量と比エンタルピーから求めてみると、
Φk = qmr(h2 - h3)
= 0.75 ×(425 - 245)
= 0.75 × 180
= 135 kW
よって、 ロ.180 kWは、×です。
成績係数といえば、この式。

イ.とロ.で計算した、ΦoとPの値を代入するだけです。
【おまけ】
h1~h4の数値がすべて指定されているので、hのみの計算式で求めてみましょう。
よって、 ハ.2.6は、◯です。
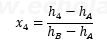
蒸発器入り口(h4)の乾き度を、定番の「x4」としましょう。この部分を切り取ったp-h線図を記しておきます。
そうすると、蒸発器入り口(h4)の乾き度x4は、
数値代入します。
よって、 二.0.39は、◯です。
正解は、(4) イ、ハ、二 です。
平成29年度をコピペしたような問題でした。ポイントをつかんで過去問をこなしていれば大丈夫でしょう。 ご健闘をお祈りします。
【2020(R02)/11/29 新設】(← 履歴をここに作った日)
PR