平成29年度問2を、ほとんどコピペして作成しました。簡単です。
問2 アンモニア冷凍装置が、下記の条件で運転されている。このとき、圧縮機のピストン押しのけ量V(m3/h)、実際の成績係数(COP)Rについて、次の答の(1)から(5)のうち、正しい答に最も近い組合せはどれか。
ただし、圧縮機の機械的摩擦損失仕事は吐出しガスに熱として加わるものとする。また、配管での熱の出入りおよび圧力損失はないものとする。
(運転条件)
冷凍能力 Φo = 180 kW
圧縮機吸込み蒸気の比体積 v1 = 0.60 m3/kg
圧縮機吸込み蒸気の比エンタルピー h1 = 1480 kJ/kg
断熱圧縮後の吐出しガスの比エンタルピー h2 = 1750 kJ/kg
蒸発器入口冷媒の比エンタルピー h4 = 430 kJ/kg
圧縮機の体積効率 ηv = 0.75
圧縮機の断熱効率 ηc = 0.80
圧縮機の機械効率 ηm = 0.90
(1)V = 492 m3/h、 (COP)R = 2.81
(2)V = 492 m3/h、 (COP)R = 3.12
(3)V = 0.14 m3/h、(COP)R = 2.81
(4)V = 0.14 m3/h、(COP)R = 3.12
(5)V = 0.14 m3/h、(COP)R = 3.51
実際の成績係数COPといえば、ハイ!

つらつらと式を眺めると、h1、h2、h4、ηc、ηmは、分かっていますので、COPは楽勝のようです。(この4つの数値が与えられていれば、ここではqmrは必要ありません。)
次にピストン押しのけ量Vといえば、はい!

この式から、Vを求めるには冷媒循環量qmrを求めなければなりません。
となると、あの式ハイ!

(2)式のΦo、h1、h4は、分かっていますのでqmrが求められます。
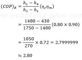
まずは、実際の成績係数(COP)R
ここで、設問を見ると、「2.81」が一番近い。ぅ~ん…、一気に計算せずに、
こんな感じにすれば、2.81となる。しかし、記述計算を採点されるわけではないので、ここでつまずかなくても良いでしょう。
ピストン押しのけ量Vを求めるために、冷媒循環量qmrを求めます。

求めたqmrと設問の数値を代入します。

ここで、注意 >> 単位をsからhに換算すること!
0.1368〔m3/s〕 × 3600 = 492.8 ≒ 492〔m3/h〕
解答欄をよ~く見てください。あなたが涙目にならないように…。
(1)V = 492 m3/h、 (COP)R = 2.81
(2)V = 492 m3/h、 (COP)R = 3.12
(3)V = 0.14 m3/h、(COP)R = 2.81
(4)V = 0.14 m3/h、(COP)R = 3.12
(5)V = 0.14 m3/h、(COP)R = 3.51
正解は(1)です。 単位を意識せずに、うっかり(3)を選ばないように。
嫌らしいですね。ご健闘をお祈りします。
今年度のように計算結果が微妙に違った場合は、計算式と計算に自信がある!ならば、『楽勝っスね!』と信念を持って一番近い数値を選べば良いでしょう。
【2018(H30)/01/05 新設】(← 履歴をここに作った日)
PR