EchoLand-plus
平成27年度以来の久々の空冷凝縮器が出題されました。空冷蒸発器や水冷凝縮器にある「霜」「水垢」がないので楽です。
問3 空調用空冷凝縮器の使用および運転条件は、下記のとおりである。これについて、次の(1)~(4)にそれぞれ解答用紙の解答欄に計算式を示して答えよ。ただし、冷却管材の熱伝導抵抗は無視できるものとする。(20点)
(仕様および運転条件)
凝縮負荷 Φk = 30 kW
凝縮温度 tk = 45 ℃
空気入口温度 ta1 = 32 ℃
空気出口温度 ta2 = 39 ℃
空気側熱伝達率 αa = 0.0527 kW/(m2・K)
冷媒側熱伝達率 αr = 2.48 kW/(m2・K)
有効内外伝熱面積比 m = 22.8
空気の密度 ρa = 1.2 kg/m3
空気の比熱 ca = 1.0 kJ/(kg・K)
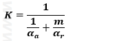
(1) 空気側有効伝熱面積基準の平均熱通過率K[kW/(m2・K)]を求めよ。
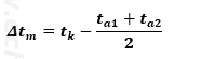
(2) 冷媒と空気との間の算術平均温度差Δtm(K)を求めよ。
(3) 送風機の送風量qva(m3/s)を求めよ。
(4) 冷媒側有効伝熱面積Arを求めよ。ただし、冷媒と空気との温度差は、算術平均温度差を用いるものとする。
与えられた仕様や条件と使用できる公式を記してみましょう。




基本式はこれ、

では、数値代入しましょ。設問にすべて指定されています。

答え 0.0355 [kW/(m2・K)]
特に説明はいらないでしょう。
基本式

数値代入。設問にすべて指定されています。

答え 9.5 (K)
基本式はこれ、
Φk = caρaqva(ta2 - ta1)
よって、
qva = Φk / caρa(ta2 - ta1)
数値代入しましょ。設問にすべて指定されています。
qva = 30 / 1.0 × 1.2 × (39 - 32)
= 30 / 1.2 × 7
= 30 × 8.4
= 3.5714285
≒ 3.57
答え 3.57 [m3/s]

まず、次の基本式から伝熱面積Aを求めます。
Φk = KAΔtm
変形して数値代入しましょ。

さて、次の基本式

ここで求めた伝熱面積Aは、外(フィン側)表面基準とするAaとして、冷媒側有効伝熱面積Arを求めます。

答え 3.90 (m2)
空冷凝縮器に関する基本の公式を押さえてあれば楽勝の余裕でしょう。講習会で公式を教えてくれるでしょう。
【2021(R03)/06/12 新設】