ヒートポンプとは何か、基本的な原理、成績係数はどうなるか。この3つをつかんでおけばO-K-。『初級 冷凍受験テキスト:日本冷凍空調学会』<8次:P4とP20~> あたりをいちど熟読してほしい。多く出題されるのは、ヒーポンの成績係数に関する問題です。計算式は3冷の場合は無理に覚えなくてもよい!ただし、式の意味をチョイと考えておくと完璧。
テキスト<8次:P20~P21(2.10)式>の展開がよくわからないという質問があるので…ちょっと説明。 (2014/05/24、2020/04/23記ス by echo)
まずは、記号の整理。
p-h線図を書いておきましょう。

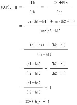
さて、理論冷凍サイクル成績係数 (COP)th_Rは、
であり、 (←テキストP18(2.8)式)
理論ヒートポンプサイクルの成績係数 (COP)th_H は、
である。 (←テキストP20(2.10)式上段)
ここで、
さらに、
Φk = Φo + Pth (←テキストP20(2.9)式)
なので、

めでたく、テキスト通りになった。
簡単に書けば、こんな感じ。

テキスト<8次:P20>
・空冷凝縮器は外気に放熱するが、この熱を暖房や加熱に利用する冷凍装置を、ヒートポンプ装置と呼ぶ。 H22/01 
【◯】 これは、もう、サービス問題。テキストは<8次:P20>15行目の太字の一文がズバリ的!
・ヒートポンプサイクルは、圧縮機での圧縮動力に相当する熱を蒸発器で取り入れた熱とともに、凝縮負荷として凝縮器から放出される熱を利用する。 H20/02 
【◯】 ぅむ。 完璧な問題文である。これは、テキスト<8次:P20(2.9)式>の下(20行目)から読み解けばよいだろう。
・理論ヒートポンプサイクルでは、圧縮機で理論断熱圧縮動力を消費して、この圧縮動力に相当する熱と蒸発器で取り入れた熱とが冷媒に加わって凝縮負荷となり、凝縮器から放出される熱を利用する。 R06/01 
【◯】 ぅむ❣
テキスト<8次:P20~23> +1に、こだわった問題が多い。楽勝かも。
・ ヒートポンプ装置の理論成績係数の値は、冷凍装置の理論成績係数よりも1の数値だけ大きい。 H10/03 H11/01 
【◯】 はい、理論より1だけ大きいです。テキスト<8次:P21(2.10)式の下行>20行目にズバリ。
・理論ヒートポンプサイクルの成績係数は、理論冷凍サイクルより1だけ大きな値となる。 H12/02
・理論ヒートポンプサイクルの成績係数は、理論冷凍サイクルの成績係数よりも1だけ大きい。 R02/02 R05/01 (「より1だけ」、他同じ。)
・理論ヒートポンプサイクルの成績係数は、理論冷凍サイクルの成績係数よりも1だけ大きな成績係数の値となる。 R04/01 
【全部 ◯】 ぅむ。
・理論冷凍サイクルの成績係数は、理論ヒートポンプサイクルの成績係数より1だけ大きい。 H25/01 
【×】 今度は【×】です。平成12年度の問題と比べてください。(逆ですw。)問題文を、よく読むようにしましょう。
・ヒートポンプサイクルの成績係数の値は、同一運転温度条件における冷凍サイクルの成績係数の値よりも常に1の数値だけ大きい。 H16/03 
【◯】 「同一運転温度条件」なんてね、いろいろとあなたを試験担当者は攻めてきてあなたをもてあそぶ。負けないように、頑張ろう!
・理論ヒートポンプサイクルの成績係数の値は、同一運転温度条件における理論冷凍サイクルの成績係数の値よりも常に1の数値だけ大きい。 H20/03 
【◯】 もうあなたにとってこの問題は、サービス問題となった!
(ちなみに、理論も実際も1の数値だけ大きい。実際のヒーポン成績係数はテキスト<8次:P34~P35>)
・理論ヒートポンプサイクルの成績係数の値は、同一運転条件における理論冷凍サイクルの成績係数の値よりも1だけ大きな数値となる。 R07/03 
【◯】 ぅむ。✌️(H20と同等だが、語句や文脈が微妙に違うので別枠にした。)
・理論ヒートポンプサイクルの成績係数に比べて、理論冷凍サイクルの成績係数は1だけ大きい。 H29/01 
【×】 はぃ、素直な間違い問題です。
正しい文章は、
理論冷凍サイクルの成績係数に比べて、理論ヒートポンプサイクルの成績係数は1だけ大きい。
で、いいですね。ぅん。
・冷凍装置の理論冷凍サイクルの成績係数の値は、理論ヒートポンプサイクルの成績係数の値よりも1だけ大きい。 H30/03 
【×】 2年連続の同等問題だけども。ぅ~ん、チョットやりすぎでないの!?。日本語の難しさをご堪能ください。KHKさんへ。日本語の練習をさせていただいてありがとう。
正しい文章は、
冷凍装置の理論ヒートポンプサイクルの成績係数の値は、理論冷凍サイクルの成績係数の値よりも1だけ大きい。
で、いいですね。ぅん!
・理論冷凍サイクルの成績係数は、理論ヒートポンプサイクルの成績係数よりも1だけ大きな成績係数の値となる。 R06/02 
【×】 正しい文章は、
「理論ヒートポンプサイクルの成績係数は、理論冷凍サイクルの成績係数よりも1だけ大きな成績係数の値となる。」
テキスト<8次:P21>の6行目から、実際のヒートポンプ装置の成績係数について触れられているが、これについての試験問題は問3あたりで出題される。テキストは<8次:P34~P35>
03/03/14 05/03/11 07/03/16 08/02/26 08/04/13 09/03/31 09/05/18 10/08/31 11/06/18 12/05/27 13/05/04 14/06/14 17/11/17 19/02/26 20/04/23 21/01/14 21/12/01 23/011/21 24/11/19 25/12/04
『SIによる 初級 冷凍受験テキスト』7次改訂版への見直し、済。(14/05/31)
『初級 冷凍受験テキスト』8次改訂版への見直し、済。(20/04/23)
【2016/05/05 新設】