『初級 冷凍受験テキスト:日本冷凍空調学会』<8次:P33~P37 (3.4 装置の実際の成績係数)>
式がいっぱい出てくるが、ビビらないように。覚えなくても良い、式の意味を理解する。過去問をこなしているうちに、イメージが湧いてくるはずだ。

冷凍装置の実際の成績係数の式
成績係数が大きくなるのは、冷凍能力が大きくなる、効率が良くなる(1に近づく)、ということなのだが・・・。
今までの基礎的な知識がここで試されます。
『初級 冷凍受験テキスト』<8次:P33 (3.13)式>が重要。(上の式)
・冷凍装置の実際の成績係数は、理論冷凍サイクルの成績係数に断熱効率と体積効率を乗じて求められる。 H27/03
・実際の冷凍装置の成績係数は、理論冷凍サイクルの成績係数に圧縮機の断熱効率と体積効率を乗じて求められる。 R03/03 
【両方 ×】 どこが間違いやねん、どこが、どこが…、ぅわ~、やられたワ。というような問題。 体積効率じゃなくて機械効率です!(思いっきり違うので、悔し涙が留めなく出た方がいるかも…。)
・冷凍装置の実際の成績係数は、理論冷凍サイクルの成績係数に断熱効率、機械効率、体積効率を乗じて求められる。 R02/03 
【×】 これは、惑わされないでしょう!!体積効率は関係ないですよね! わからない方は、初級テキスト<8次:P33 (3.4 実際の成績係数)>を熟読してください。
テキスト<8次:P33>の(3.13)式を把握しておこう。
・圧縮機の断熱効率(圧縮効率)が大きくなると軸動力は大きくなり、冷凍装置の成績係数も大きくなる。 H11/05

【×】 テキスト<8次:P32>あたりから

断熱効率 ηc が大きくなると、軸動力 P は小さくてよいことになる。「軸動力は小さくなり」
COP = Φo / P テキスト<P33 (3.13)式> 「成績係数も大きくなる。」は、正しい。
・機械効率が小さい圧縮機ほど、圧縮機駆動の軸動力が大きくなり、冷凍装置の成績係数は小さくなる。 H12/03 
【◯】 テキスト<P33 (3.13)式>と下行辺り。 10年ほど前の問題は、3問目あたりでも難しい感じ?機械効率小さい(悪い)と軸動力が大きくしなけらばならない、成績係数は当然小さく(悪く)なる。
機械効率(ηm) = 圧縮動力 ÷ 機械的摩擦損動力
・圧縮機の全断熱効率が大きくなると、圧縮機駆動の軸動力は小さくなり、冷凍装置の成績係数は大きくなる。 H23/03 R01/03( 実際の成績係数
他は同じ)
【◯】 全断熱効率 ηtad = Pth / P = ηcηm(テキスト<8次:P32 (3.10)式>)なので、軸動力Pは小さくなる。
成績係数 COP は、COP = Φo / P(テキスト<8次:P33 (3.13)式>)なので、P が小さくなれば COP は大きくなる。要するに、(全断熱)効率がいいと、冷凍に必要な動力は小さくて良いし、冷凍装置の効率も良くなって(成績係数が大きくなって)、eco(省エネ)ってことだね。イメージが湧いてきたかな?
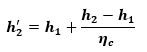
「h2'」は、2冷学識からは数式を覚え計算する知識が必要となる。3冷は理屈だけ覚えておけば良い。

実際の吐き出しガス比エンタルピーh2’
圧縮機の機械的摩擦損失動力の熱が冷媒に加えられる場合。
分母は(ηcηm)
圧縮機の機械的摩擦損失動力の熱が冷媒に加えられない場合。
分母は(ηc)
「加えられる」「加えられない」の違いは2冷以上では必須の知識になるが、3冷では令和3年度にヒートポンプの成績係数の文章問題で出題された。(下記)
テキスト<8次:P34>には線図入りの説明が半ページあるので、この数式の知識がそのうちヒョッコリ出題されるかもしれない。(2021(R03)/12/09記ス)
・実際の圧縮機吐出しガスの比エンタルピーは、圧縮機の断熱効率が悪くなるほど大きくなる。 H26/03 
【◯】 実際の成績係数を求めるときこの知識は必要です。(3冷試験は計算しない。)
h2´ を求める式、テキスト<P34 (3.14)式>です。
断熱効率 ηc は分母にあるので ηc が悪くなる(値が小さくなる)と、h2´ は大きくなります。
・圧縮機の全断熱効率が低下するほど、実際の圧縮機吐出しガスの比エンタルピーは大きくなる。 R03/03 
【◯】 テキスト<8次:P34 式(3.14)>

分母の ηcηm が、全断熱効率(ηtad )です。なので、小さく(低下)なれば、吐き出しガス火エンタルピー h2' は大きくなります。
・実際の圧縮機吐出しガスの比エンタルピーは、圧縮機吸込み蒸気の圧力、温度および圧縮機吐出しガスの圧力が同じでも、理想的な断熱圧縮を行ったときより低い値となる。 R05/03 
【×】 つまり、テキスト<8次:P34 式(3.14)>が実際の圧縮機吐き出しガス火エンタルピー h2' です。

理想的な断熱圧縮を行ったときより、 ηcηm の相当分の高い(大きい)値 (h2') になります。

h2 と h2' の p-h線図
ヒートポンプの問題はビビらなくて良い。理論と比べどうなるかなんだけど。2冷はけっこう出題されるが、3冷は忘れた頃にポツリポツリかな。
理論ヒートポンプ冷凍サイクルの問題は、こちら(冷凍の原理3>ヒートポンプ)です。
・ヒートポンプの成績係数は理論サイクル、実際サイクルにおいても、冷凍装置のそれぞれのサイクルの成績係数よりも大きくなる。 H11/03 
【◯】 ちょっと引っかけ問題かな・・・?
同じ冷凍装置で理論と実際の成績係数は損失があるから同じではない。
しかし、理論上の冷凍装置でも実際の冷凍装置でも、それぞれのヒートポンプの成績係数は1だけ大きくなる。
・実際のヒートポンプ装置の成績係数の値は、運転条件が同じである実際の冷凍装置の成績係数の値よりも1だけ大きい。 H17/03 
【◯】 H11/03の問題と同じ感じ。
問いかけているのは「1大きい」ってことを理解しているかどうかなんだけど、「実際」「運転条件」などといろいろと攻めてくる。良く問題を読めば、ごもっともなことを言っているはずだ。テキストは<8次:P35 (3.18)式>と、この下2行。
・機械的摩擦損失仕事が熱となって冷媒に加わる場合、実際のヒートポンプ装置の成績係数の値は、同一運転温度条件における実際の冷凍装置の成績係数の値よりも常に1の数値だけ大きい。 R03/03 
【◯】 これは、なんとなく【◯】にするかもしれない…。
テキスト<8次:P35>の「機械的摩擦損失仕事が熱となって冷媒に加わる場合」(3.18)式と、「機械的摩擦損失仕事が熱となって冷媒に加えられない場合」(3.19)式の意味を把握していれば自信を持って【◯】にできるだろう。(2冷、1冷は、普通に計算できる知識が必要になる。)
成績係数が運転状態の変化でどうなるかです。いままでの基礎が試されます。テキスト<8次:P37 1~7行>を熟読しましょう。(問題を小分けに分類してみました。(2021(R03)/12/09))
蒸発と凝縮の温度差によって成績係数がどうなるか問われます。テキスト<8次:P37>の1~7行目を熟読してください!
・冷凍装置の成績係数の値は、蒸発温度と凝縮温度との温度差が大きくなるほど大きくなる。 H16/03 H19/03 
【×】 蒸発温度(圧力)凝縮温度(圧力)の温度差(圧力差)が大きくなれば、圧力比(圧縮比)が大きくなり、圧縮機の動力が増加し成績係数は小さくなる。
・蒸発温度と凝縮温度との温度差が大きくなると、断熱効率と機械効率が大きくなるとともに、冷凍装置の成績係数は低下する。 H29/03 R01/03(「実際の成績係数」、他同じ)
R07/03(「なるので、冷凍装置」、他同じ) 
【×】 はい。正しい文章にしてみましょう。
蒸発温度と凝縮温度との温度差が大きくなると、断熱効率と機械効率が小さくなるとともに、冷凍装置の成績係数は低下する。
(蒸発と凝縮の温度差によって)圧力比が変化したとき、成績係数がどうなるか問われます。テキスト<8次:P32~P33>を復習。
・圧縮機の運転条件によって決まる圧力比が小さくなると、断熱効率と機械効率は小さくなり、冷凍装置の成績係数は小さくなる。 H21/03 
【×】 テキスト<8次:P32の11行目(断熱効率)と17行目(機械効率)>を読み、<8次:P33 (3.13式)>を、ジ~ッと見つめる。
圧縮機の運転条件によって決まる圧力比が小さくなると、断熱効率と機械効率は大きくなり、冷凍装置の成績係数は大きくなる。
・圧力比が大きくなると、機械効率は小さくなり、冷凍装置の成績係数は大きくなる。 H25/03 
【×】 正しい文章にしてみましょう。
圧力比が大きくなると、機械効率は若干小さくなり、冷凍装置の成績係数は小さくなる。
蒸発と凝縮の温度差によって、圧力比が変化し、断熱効率と機械効率も変わります。それによって成績係数がどうなるか問われます。全部の知識が試されます。テキスト<8次:P37>の1~7行目を熟読してください!!!
・蒸発温度と凝縮温度との温度差が大きくなると、圧縮機の断熱効率と機械効率が小さくなるので、冷凍装置の成績係数は低下する。 H14/03 
【◯】 温度差が大きくなると圧力比が大きくなりそれだけ圧縮動力が必要とされ、断熱と機械効率は小さくなり成績係数は低下します。
・実際の冷凍装置は、蒸発温度と凝縮温度との温度差が大きくなると、圧縮機の圧力比、断熱効率と機械効率がともに大きくなるので、成績係数が低下する。 H22/03 
【×】 正しい文章にしてみましょう。
実際の冷凍装置は、蒸発温度と凝縮温度との温度差が大きくなると、圧縮機の圧力比が大きくなるので、断熱効率と機械効率がともに小さくなり、成績係数が低下する。
テキスト<8次:P37 3行目から>ズバリ的出題です。
・蒸発温度を低くして運転すると、圧縮機の断熱効率が小さくなり、体積効率も小さくなるので冷凍装置の成績係数は小さくなる。 H20/03 
【◯】 蒸発温度が低くなりすぎると圧力比が大きくなり、圧縮機の断熱効率と体積効率が小さくなって、圧縮機軸動力 P は多く必要とされ大きくなります。
また、比体積が大きく(蒸気が薄く)なって冷媒循環量が減り冷凍能力 Φo も小さくなってしまいます。よって、成績係数(COP = Φo / P)は小さくなってしまいます。
つまり、蒸発温度はなるべく高くなるように運転する。そうしないと効率(ηcηm)は小さくなり成績係数が小さくなります。
COP = (Φo / P) ηcηm
03/03/24 04/09/03 05/03/13 07/03/21 08/04/16 10/09/04 11/06/19 12/05/29 13/05/21 14/06/30 15/06/14 19/11/17 20/05/22 21/12/09 23/11/24 25/12/04
『SIによる 初級 冷凍受験テキスト』7次改訂版への見直し、済。(14/06/30)
『初級 冷凍受験テキスト』8次改訂版への見直し、済。(20/05/21)
【2016/05/18 新設】
圧縮機の圧力比、断熱効率と機械効率がともに小さくなるので、成績係数が低下する。
圧縮機の圧力比が大きくなるので、断熱効率と機械効率がともに小さくなり、成績係数が低下する。